-
近日,北京理工大學徐寶華教授團隊在構筑聚離子液體-銀(PIL-Ag)雜...
-
近期,北京理工大學張加濤教授團隊在等離激元光催化材料合成與界面調控方面...
-
近日,北京理工大學前沿交叉科學研究院黃元教授、集成電路學院徐曉龍準聘教...
-
近日,北京理工大學外國語學院助理教授徐翠博士在國際頂級翻譯學期刊Bab...
-
近日,北京理工大學外國語學院助理教授紀悅博士在事件結構的語言與認知方面...
-
北京理工大學智能機器人研究所王化平教授團隊在微納機器人與生物醫學工程領...
-
基于此,北京理工大學化學與化工學院長聘副教授楊文和北京理工大學醫工融合...
-
日前,管理與經濟學院顏志軍教授主持的國家自然科學基金委重點國際(地區)...
-
近期,北京理工大學王金亮教授團隊在構筑基于區域規整異三鹵化端基的高效率...
-
近日,北京理工大學物理學院量子技術研究中心趙清、張博研究團隊與中國科學...
-
2022年下半年,北理工科研團隊分別在鈣鈦礦太陽能電池研究、環二核苷酸...
-
近日,北京理工大學前沿交叉科學研究院黃佳琦教授課題組在金屬鋰電池安全改...
-
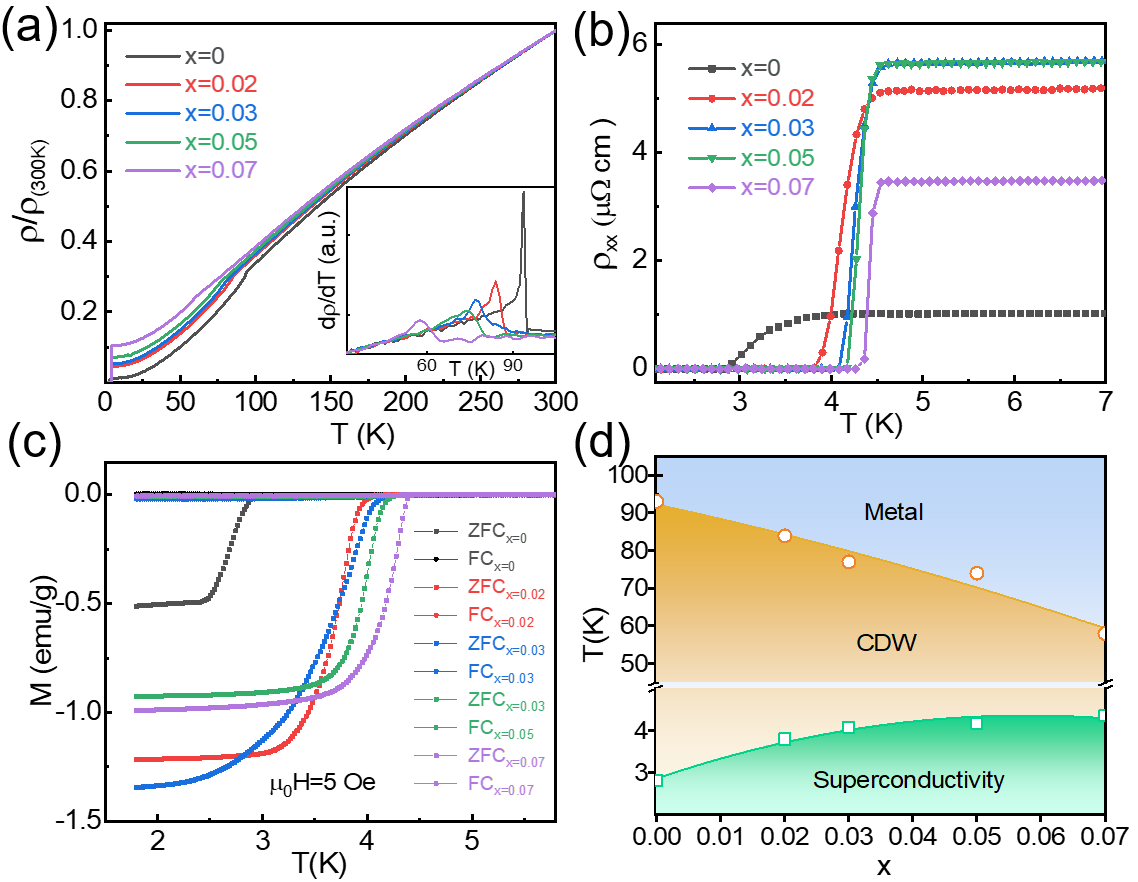
近日,北理工物理學院王秩偉特別研究員、姚裕貴教授團隊在Nb摻雜籠目結構...
-
近日,北京理工大學張帥龍教授在國際生物化學類頂級期刊《Chemical...
-
離散有序組裝體的構筑及性能研究是化學領域的研究熱點,通過拓撲結構的精準...
-
近日,北京理工大學物理學院姚裕貴教授、段俊熙副研究員團隊在轉角石墨烯體...
-
北京理工大學王蔚芝課題組近日與新加坡國立大學陳小元課題組合作,開發了基...
-
北京理工大學王蔚芝課題組近期開發了一種基于點擊化學的多肽功能化識別與調...
-
?10月14日,北京理工大學王博教授團隊在Science上發表文章“C...
-
近日,北京理工大學光電學院許廷發科研團隊在遠程病理成像領域取得新進展,...
-
?10月21日,北京理工大學化學與化工學院趙之平教授團隊在柔性MOF膜...
百家乐筹码防伪套装|
百家乐官网珠盘路|
大发888 894|
百家乐赌博详解|
百家乐赌经|
百家乐官网打格式|
百家乐官网双龙|
tt娱乐城网址|
大世界百家乐官网娱乐城|
大发888娱乐场下载 官方|
百家乐赌具哪里最好|
百家乐官网八卦投注法|
百家乐一起多少张牌|
反赌百家乐官网的玩法技巧和规则
|
百家乐开户送10彩金|
百家乐官网英皇娱乐场|
什么是百家乐官网的大路|
康莱德百家乐官网的玩法技巧和规则
|
ag百家乐下载|
娱乐城注册送28|
太阳百家乐官网代理|
太阳城官网|
威尼斯人娱乐城会员|
娱乐城注册送钱|
风水97年农历6月24八字|
澳门百家乐官网娱乐城怎么样
|
威尼斯人娱乐开户送18|
百家乐官网赌场大赢家|
克拉克百家乐官网试玩|
博狗玩百家乐官网好吗|
新2百家乐现金网百家乐现金网|
百家乐官网庄闲点|
姚记娱乐城官网|
大丰收百家乐官网的玩法技巧和规则|
钻石国际|
百家乐园有限公司|
百家乐官网是娱乐场最不公平的游戏|
衡南县|
百家乐韩泰阁|
百家乐官网视频台球游戏|
皇博线上娱乐|