北理工團隊在平臺毛利保護契約方面取得重要研究進展
發布日期:2023-08-18 供稿:管理學院 攝影:管理學院
編輯:趙強 審核:顏志軍 閱讀次數:
在國家自然科學基金項目資助下,由北京理工大學鄭鴻博士、李果教授,與復旦大學田林教授組成的研究團隊,基于平臺供應鏈場景,揭示了毛利保護契約的作用機制,分析了毛利保護契約對平臺供應鏈的系統性影響,為我國合理監管平臺對毛利保護契約的使用提供了理論依據。研究成果以“是福還是禍? 競爭環境下毛利保護契約作用機制研究(A Bane or a Boon? Profit-Margin-Guarantee Contract in a Channel with Downstream Competition)”為題,于2023年7月在《Production and Operations Management》期刊上正式發表。
數字化平臺作為數字經濟的重要組織范式,在賦能實體產業鏈供應鏈的同時,也因為權力結構失衡產生了不公平契約等問題。其中,除“二選一”政策外,最備受爭議的是“毛利保護契約”。為此,科學分析毛利保護契約的系統性影響成為平臺供應鏈健康發展亟待解決的關鍵性問題。
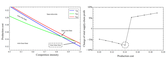
該研究構建了競爭環境下毛利保護契約的理論研究模型,通過科學方法量化分析了毛利保護契約對平臺供應鏈成員的收益影響,并提出了提升平臺供應鏈整體運營效率的優化策略。研究發現,供應商可以策略性地調整批發價格影響平臺對于觸發毛利保護契約的動機。同時,毛利保護契約的實施雖然可能會提高供應商、簽約平臺或未簽約平臺的收益,但“三方共贏”的局面不會存在。相反,會出現“三方共輸”的情形(圖);數值結果顯示,該情形下,毛利保護契約會導致平臺供應鏈整體利潤降低約7.5%。合理監管毛利保護契約的使用,有助于平臺供應鏈的持續健康發展,加快促進實體經濟與數字經濟的深度融合。

毛利保護契約對平臺供應鏈的收益影響
《Production and Operations Management》是美國德克薩斯大學達拉斯分校遴選的24本商學院頂級學術期刊(簡稱UTD 24)之一,也是金融時報評定的50本商學院頂級學術期刊(簡稱FT50)之一,也是英國商學院協會(ABS)評選出的4星級期刊,在國際管理學界享有較高的學術聲譽。
論文鏈接:https://onlinelibrary.wiley.com/doi/10.1111/poms.13958。
論文詳情: Hong Zheng, Lin Tian, Guo Li*. A bane or a boon? Profit-margin-guarantee contract in a channel with downstream competition. Production and Operations Management, 2023, 32(7), 2087-2100.
分享到:
