澳门威尼斯人美女-澳门威尼斯人赌场音乐-威尼斯人娱乐场官网h00 (中国)·官方网站

北理工團隊在海洋氣溶膠增長機制研究方面取得重要進展


近日,北京理工大學化學與化工學院/原子分子簇科學教育部重點實驗室張秀輝教授團隊與中科院生態環境中心賀泓研究員團隊和美國賓夕法尼亞大學Joseph S. Francisco教授團隊合作,在海洋氣溶膠增長機制研究方面取得重要進展。相關研究成果以“Chemical Implications of Rapid Reactive Absorption of I2O4 at the Air-Water Interface”為題,在國際頂級化學期刊《美國化學會志》( Journal of the American Chemical Society , JACS )上發表(DOI: 10.1021/jacs.3c01862)。該工作以北京理工大學為第一通訊單位,張秀輝教授、賀泓研究員和Joseph S. Francisco教授為共同通訊作者,北京理工大學化學與化工學院博士后寧安與中國石油大學鐘杰教授為該論文的共同第一作者。

海洋氣溶膠構成了全球最大的自然源氣溶膠體系,對全球的輻射平衡、氣候變化乃至人們的生活都有著重要影響。盡管已有研究表明含碘物質與海洋氣溶膠的形成密切相關,但其參與的氣溶膠增長機制尚不清楚。已有實驗室研究表明,碘氧化物(I x O y )是氣溶膠粒子形成的重要組分(其中四氧化二碘I2O4濃度最高)。然而,外場檢測到的氣溶膠粒子的主要碘組分為IO3-離子,卻未檢測到碘氧化物。實驗室與外場觀測上的分歧難以用當前的化學反應機制來解釋,這很大程度上限制了人們對碘氧化物如何影響海洋氣溶膠形成的理解。

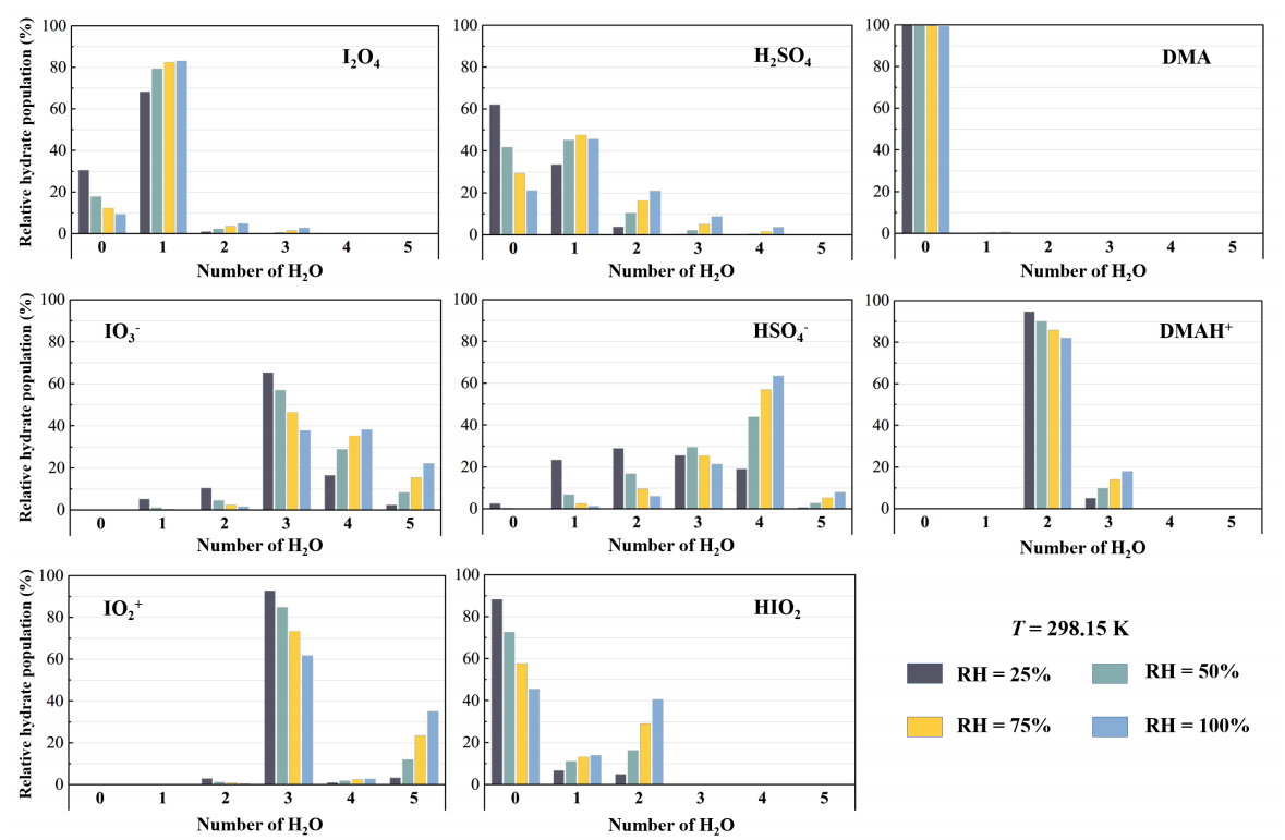
北京理工大學張秀輝教授團隊及其合作者通過量子化學計算與第一性原理分子動力學模擬相結合的方案揭示的大氣中硫酸和胺類物質影響下的I2O4的氣-液界面(即液相氣溶膠表面)上的非均相反應機制則較好地解釋了上述分歧問題。由于真實大氣中的化學組分遠比“單純”的實驗環境更為復雜,除碘氧化物外,還存在著污染物硫酸、以及海洋類生物排放生成的胺類組分。她們合作研究發現,在硫酸和有機胺的參與下,I2O4可在氣溶膠氣-液界面快速(皮秒級別)反應(圖1)生成亞碘酸HIO2以及一系列離子產物,如HSO4-、IO3-、DMAH+等。所生成的反應產物間可通過氫鍵、鹵鍵和離子鍵結合為尺寸更大的復合物,進而限制其向液滴體相的擴散;同時,界面水分子通過氫鍵與產物分子結合,使其難以蒸發至氣相(圖2)。且上述附著于液滴表面的產物(IO3-/DMAH+等)相比于反應物(I2O4/DMA等)有更低的揮發性和更高的吸濕性(圖3),還可促進氣溶膠的吸濕性增長。

圖1. 硫酸、有機胺影響下的I2O4的氣-液界面反應機制

圖2. I2O4的氣-液界面反應產物

圖3. I2O4氣-液界面反應物/產物的水合分布

綜上,該研究揭示的硫酸和有機胺影響下的I2O4在氣溶膠氣-液界面的反應機制不僅解釋了實驗室與外場觀測上的分歧,而且有助于理解碘化學的非均相反應過程及其對氣溶膠增長的影響機制。同時還揭示了海洋氣溶膠中HSO4-/IO3-等重要組分的新來源,進而對深入理解海洋大氣碘化學與氣溶膠形成間的聯系提供了理論線索。

該研究得到了國家杰出青年科學基金(22225607)和國家自然科學基金(21976015和22188102)的支持。

文章鏈接:https://pubs.acs.org/doi/10.1021/jacs.3c01862


附作者簡介:

張秀輝,北京理工大學教授,博士生導師,國家杰出青年科學基金獲得者。2007年北京理工大學博士畢業并獲全國百篇優秀博士論文提名。主要從事大氣顆粒物形成機制的理論研究工作,以通訊或第一作者在 J. Am. Chem. Soc. , Angew. Chem. Int. Ed. , Proc. Natl. Acad. Sci. USA 等期刊發表SCI論文60余篇。以第三完成人獲教育部自然科學二等獎、中國兵器集團公司科學技術二等獎等。培養的1名博士生獲中國顆粒物學會優秀博士論文。


分享到:

百家乐官网博娱乐场| 沙龙百家乐官网赌场娱乐网规则 | 怎样看百家乐官网路单| 百家乐室系统软件| 香港六合彩开奖号码| 百家乐投注组合| 隆安县| 澳门百家乐国际娱乐城| 百家乐官网视频打牌| 百威百家乐的玩法技巧和规则 | 真人百家乐的玩法技巧和规则| 大发888娱乐场下载zhidu| 单机棋牌游戏下载| 下三元八运24山详解| 金牌娱乐城官网| 赌片百家乐的玩法技巧和规则 | 百家乐路单统| 大发888官方免费下载| 华侨人百家乐官网的玩法技巧和规则 | 真人百家乐官网宣传| 百家乐真人游戏娱乐网| 百家乐官网人生信条漫谈| 全讯网分析| 大发888赌城| 玩百家乐会犯法吗| 百家乐官网玩法皇冠现金网| 荷规则百家乐的玩法技巧和规则| 太阳百家乐官网网址| 百家乐官网庄比闲多多少| 大发888dafa8668| 百家乐干洗店| 大发888赌场官方下载| 百家乐排名| 玩百家乐官网上高尔夫娱乐场| 网络百家乐官网破解平台| 新金润娱乐城| 大发888攻略| 大世界百家乐的玩法技巧和规则| 最好的百家乐投注| 租nongcun房看风水做生意的| 百家乐官网怎么才能|