北理工陳小偉教授課題組在國際知名期刊發表系列文章
發布日期:2018-02-28 供稿:前沿交叉科學研究院
編輯:李卡 審核:王博 閱讀次數:北京理工大學前沿交叉科學研究院的陳小偉教授課題組長期從事復雜結構力學、結構沖擊動力學、穿甲動力學和常規武器戰斗部設計的研究工作。自2017年1月入校以來,先后在International Journal of Impact Engineering、Construction and Building Materials、Acta Mechanica Sinica等國際知名期刊發表系列研究成果。
素/鋼筋混凝土的動態力學行為研究




通過試驗分析和細觀模擬系統開展了素/鋼筋混凝土的動態力學行為研究。進行了混凝土試件的大尺寸( ? 120mm×100mm)SHPB實驗,揭示并解釋了混凝土類脆性材料反射波“雙峰”現象和反射波尾出現“壓縮波段”的現象,觀察到不同應變率下混凝土試件的四種典型的破壞形態,“輕微龜裂”、“破裂”、“破碎”和“粉碎”。同時分析了混凝土試件的塑性承載能力,給出了關于混凝類脆性材料SHPB實驗不同應變率下波形特征與試件最終破壞狀態對應關系的相關認識。
考慮骨料、砂漿及二者之間的ITZ創建了混凝土的三維三相細觀隨機骨料模型。詳細介紹了隨機多面體骨料的生成和投放方法、ITZ的生成方法以及如何通過網格投影法生成混凝土細觀有限元模型的過程。在實驗和反復數值模擬的基礎上,確定了適當的混凝土內各成分的HJC材料模型參數。
在此基礎上,進行了不同應變率下Ф120×100mm混凝土試件SHPB原型實驗數值模擬,重現了實驗中混凝土試件的四種典型的破壞形態的形成過程,觀察到實驗中出現的反射波“壓縮波”現象和“雙峰”現象,并預測了更高應變率下混凝土試件的破壞形態、波形特征和應力平衡失效。引入損傷失效體積的概念,分析了混凝土試件SHPB實驗中的應力平衡失效與波形特征之間的關系以及應力平衡失效后的材料行為,探討了骨料和砂漿之間的粘結層(ITZ)對波形特征的影響以及波形特征如何表征混凝土材料性能。
相關論文:
Lv TH, Chen XW*, Chen G. Analysis on the waveform features of the split Hopkinson pressure bar tests of plain concrete specimen. Int J Impact Engng, 2017;103:107-123.
Lv TH, Chen XW*, Chen G. The 3D meso-scale model and numerical tests of SHPB of concrete specimen. Construction and Building Materials, 2018;160:744-764.
超高速侵徹中彈靶材料可壓縮性的影響研究



為了系統研究可壓縮性在超高速長桿流體侵徹的各種彈靶組合中的作用,我們計算了強可壓縮彈侵徹弱可壓縮靶、彈與靶可壓縮性相當和弱可壓縮彈侵徹強可壓縮靶三種工況,分析了體積應變、內能和強度對侵徹效率的影響。發現可壓縮性會增大彈/靶界面處的壓力;可壓縮性強的彈/靶材料,其體積應變更大,且強度也會增大,將分別增強其侵徹或抗侵徹能力;而另一方面可壓縮性強的彈/靶材料內能更大,會減弱其侵徹或抗侵徹能力;但體積應變的影響最重要,最終侵徹效率往體積應變決定的方向發展。當彈靶材料的可壓縮性相當時,可壓縮性對侵徹效率影響很小。
針對超高速侵徹問題提出考慮可壓縮性的簡化理論模型。通過理論分析,表明在近似模型中可忽略沖擊波的影響。采用Murnaghan狀態方程近似模擬材料在侵徹過程中的變形。最終近似模型得到一個僅關于侵徹速度的方程,可利用Newton迭代法得到其數值解,并根據一階Taylor展開得到近似解,可以將簡單的Taylor解應用于工程問題中。進一步闡明了沖擊波在超高速侵徹問題中的影響是:減弱材料的可壓縮性,降低材料的駐點壓力,減弱材料侵徹(或抗侵徹 )能力。
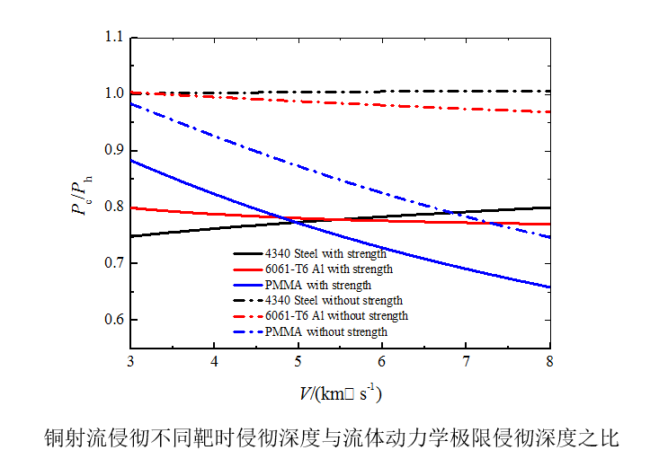
進一步利用近似可壓縮侵徹模型研究可壓縮性和強度對鎢合金長桿彈和銅射流侵徹半無限靶的影響。揭示了可壓縮性通過提高彈和靶駐點壓力來影響侵徹效率的機理。一般而言,在撞擊速度較低時,強度效應對侵徹深度影響較大,而可壓縮性影響可忽略;在撞擊速度較高時,強度效應影響很小,而可壓縮性有一定影響。進一步借助虛擬原點方法,通過侵徹速度和撞擊速度的線性關系引入可壓縮性和強度,研究強度和可壓縮性對射流侵徹的影響,結果表明靶的強度效應對侵徹深度影響嚴重。
相關論文:
Song WJ, Chen XW*, Chen P. Effect of compressibility of the rod and target on the hypervelocity penetration. Acta Mechanica Sinica, https://doi.org/10.1007/s10409-017 -0688-1.
Song WJ, Chen XW*, Chen P. The effects of compressibility and strength on penetration of long rod and jet. Defence Technology, https://doi.org/10.1016/j.dt.2017.11.010.
長桿侵徹與界面擊潰研究
相關論文:
Jiao WJ, Chen XW*. Approximate solutions of the Alekseevskii-Tate model of long-rod penetration. Acta Mechanica Sinica, 2017.03, https://doi.org/10.1007/s10409-017-0672-9.
Li JC*, Chen XW. Theoretical analysis of projectile-target interface defeat and transition to penetration by long rods due to oblique impacts of ceramic targets. Int J Impact Engng, 2017;106:53-63.
金屬玻璃復合材料研究
相關論文:
Chen G, Hao YF*, Chen XW, Hao H. Compressive behaviours of tungsten fibre reinforced Zr-based metallic glass at different strain rates and temperatures. Int J Impact Engng, 2017;106:110–119
Li JC, Chen XW*, Huang FL*. FEM analysis on the deformation and failure of particle reinforced metallic glass matrix composite. Journal of Alloys and Compounds, 2018;737:271-294.
鋼筋混凝土靶體侵徹破壞響應及其原位測試技術研究
相關論文:
Xu WF, Chen XW*, He LL, Zhang R, Li HM, Huang HY. The in-situ measurement of the penetration responses in steel reinforced concrete target by grid measurement method. Int J Protective Structures, 2017;8(2): 287–303.
分享到:
